The Schwarzschild solution describes spacetime under the influence of a massive, non-rotating, spherically symmetric object. It is considered by some to be one of the simplest and most useful solutions to the Einstein field equations .
Assumptions and notation
Working in a coordinate chart with coordinates labelled 1 to 4 respectively, we begin with the metric in its most general form (10 independent components, each of which is a smooth function of 4 variables). The solution is assumed to be spherically symmetric, static and vacuum. For the purposes of this article, these assumptions may be stated as follows (see the relevant links for precise definitions):
- A spherically symmetric spacetime is one that is invariant under rotations and taking the mirror image.
- A static spacetime is one in which all metric components are independent of the time coordinate (so that ) and the geometry of the spacetime is unchanged under a time-reversal .
- A vacuum solution is one that satisfies the equation . From the Einstein field equations (with zero cosmological constant), this implies that since contracting yields .
- Metric signature used here is ( , , ,−).
Diagonalising the metric
The first simplification to be made is to diagonalise the metric. Under the coordinate transformation, , all metric components should remain the same. The metric components () change under this transformation as:
- ()
But, as we expect (metric components remain the same), this means that:
- ()
Similarly, the coordinate transformations and respectively give:
- ()
- ()
Putting all these together gives:
- ()
and hence the metric must be of the form:
where the four metric components are independent of the time coordinate (by the static assumption).
Simplifying the components
On each hypersurface of constant , constant and constant (i.e., on each radial line), should only depend on (by spherical symmetry). Hence is a function of a single variable:
A similar argument applied to shows that:
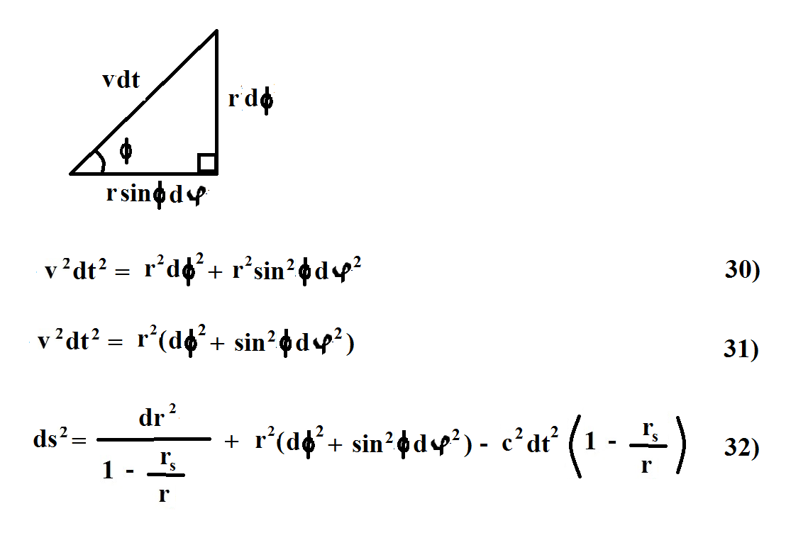
On the hypersurfaces of constant and constant , it is required that the metric be that of a 2-sphere:
Choosing one of these hypersurfaces (the one with radius , say), the metric components restricted to this hypersurface (which we denote by and ) should be unchanged under rotations through and (again, by spherical symmetry). Comparing the forms of the metric on this hypersurface gives:
which immediately yields:
- and
But this is required to hold on each hypersurface; hence,
- and
An alternative intuitive way to see that and must be the same as for a flat spacetime is that stretching or compressing an elastic material in a spherically symmetric manner (radially) will not change the angular distance between two points.
Thus, the metric can be put in the form:
with and as yet undetermined functions of . Note that if or is equal to zero at some point, the metric would be singular at that point.
Calculating the Christoffel symbols
Using the metric above, we find the Christoffel symbols, where the indices are . The sign denotes a total derivative of a function.
Using the field equations to find A(r) and B(r)
To determine and , the vacuum field equations are employed:
Hence:
where a comma is used to set off the index that is being used for the derivative. The Ricci curvature is diagonal in the given coordinates:
where the prime means the r derivative of the functions.
Only three of the field equations are nontrivial (the fourth equation is just times the third equation) and upon simplification become, respectively:
- ,
- ,
Subtracting the first and second equations produces:
where is a non-zero real constant. Substituting into the third equation and tidying up gives:
which has general solution:
for some non-zero real constant . Hence, the metric for a static, spherically symmetric vacuum solution is now of the form:
Note that the spacetime represented by the above metric is asymptotically flat, i.e. as , the metric approaches that of the Minkowski metric and the spacetime manifold resembles that of Minkowski space.
Using the weak-field approximation to find K and S
The geodesics of the metric (obtained where is extremised) must, in some limit (e.g., toward infinite speed of light), agree with the solutions of Newtonian motion (e.g., obtained by Lagrange equations). (The metric must also limit to Minkowski space when the mass it represents vanishes.)
(where is the kinetic energy and is the Potential Energy due to gravity) The constants and are fully determined by some variant of this approach; from the weak-field approximation one arrives at the result:
where is the gravitational constant, is the mass of the gravitational source and is the speed of light. It is found that:
- and
Hence:
- and
So, the Schwarzschild metric may finally be written in the form:
Note that:
is the definition of the Schwarzschild radius for an object of mass , so the Schwarzschild metric may be rewritten in the alternative form:
which shows that the metric becomes singular approaching the event horizon (that is, ). The metric singularity is not a physical one (although there is a real physical singularity at ), as can be shown by using a suitable coordinate transformation (e.g. the Kruskal–Szekeres coordinate system).
Alternate derivation using known physics in special cases
[This derivation is flawed because it assumes Kepler's 3rd law. This is unfounded because that law has relativistic corrections. For example, the meaning of "r" is physical distance in that classical law, and merely a coordinate in General Relativity.] The Schwarzschild metric can also be derived using the known physics for a circular orbit and a temporarily stationary point mass. Start with the metric with coefficients that are unknown coefficients of :
Now apply the Euler–Lagrange equation to the arc length integral Since is constant, the integrand can be replaced with because the E–L equation is exactly the same if the integrand is multiplied by any constant. Applying the E–L equation to with the modified integrand yields:
where dot denotes differentiation with respect to
In a circular orbit so the first E–L equation above is equivalent to
Kepler's third law of motion is
In a circular orbit, the period equals implying
since the point mass is negligible compared to the mass of the central body So and integrating this yields where is an unknown constant of integration. can be determined by setting in which case the spacetime is flat and So and
When the point mass is temporarily stationary, and The original metric equation becomes and the first E–L equation above becomes When the point mass is temporarily stationary, is the acceleration of gravity, So
Alternative form in isotropic coordinates
The original formulation of the metric uses anisotropic coordinates in which the velocity of light is not the same in the radial and transverse directions. Arthur Eddington gave alternative forms in isotropic coordinates. For isotropic spherical coordinates , , , coordinates and are unchanged, and then (provided )
- , , and
Then for isotropic rectangular coordinates , , ,
-
The metric then becomes, in isotropic rectangular coordinates:
Dispensing with the static assumption – Birkhoff's theorem
In deriving the Schwarzschild metric, it was assumed that the metric was vacuum, spherically symmetric and static. The static assumption is unneeded, as Birkhoff's theorem states that any spherically symmetric vacuum solution of Einstein's field equations is stationary; the Schwarzschild solution thus follows. Birkhoff's theorem has the consequence that any pulsating star that remains spherically symmetric does not generate gravitational waves, as the region exterior to the star remains static.
See also
- Karl Schwarzschild
- Kerr metric
- Reissner–Nordström metric
References




